Week 5 Tuesday
ma115
syllabus
week 1: 1/9-1/13
monday
notes
tuesday
notes
wednesday
notes
thursday
notes
week 2: 1/16-1/20
monday
notes
tuesday
notes
wednesday
notes
video
thursday
class
video
week 3: 1/23-1/27
monday
notes
tuesday
notes
wednesday
notes
video
thursday
notes
week 4: 1/30-2/3
monday
tuesday
wednesday
thursday
week 5: 2/6-2/10
monday
tuesday
wednesday
thursday
week 6: 2/13-2/17
monday
tuesday
wednesday
thursday
notes
video
week 7: 2/20-2/24
monday
tuesday
wednesday
thursday
week 8: 3/9-3/13
monday
tuesday
wednesday
thursday
week 9: 3/16-3/20
monday
tuesday
wednesday
thursday
week 10: 3/23-3/27
monday
tuesday
wednesday
thursday
week 11: 3/30-4/3
monday
tuesday
wednesday
thursday
week 12: 4/6-4/10
monday
tuesday
wednesday
thursday
week 13: 4/13-4/17
monday
tuesday
wednesday
thursday
week 14: 4/20-4/24
monday
tuesday
wednesday
thursday
study guides
other
home
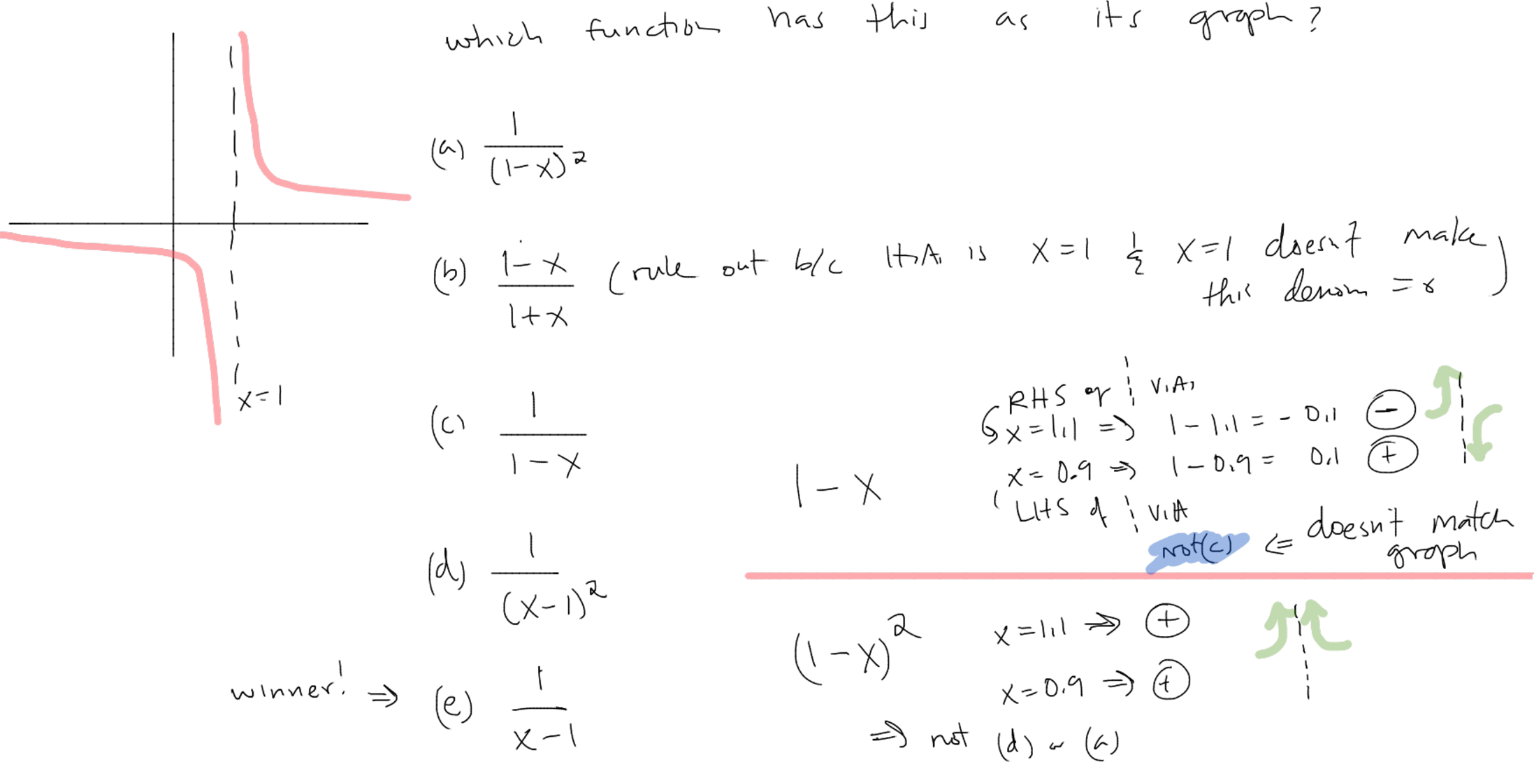
Week 5 Tuesday
download original pdf
Page 1
Page 2
Page 3