Week 11 Monday
ma516
syllabus
exercises
week 1: 1/9-1/13
monday
class
video
wednesday
class
video
week 2: 1/16-1/20
monday
class
video
wednesday
class
notes
video
week 3: 1/23-1/27
monday
class
subspace_top
closed_sets
video
wednesday
class
video
week 4: 1/30-2/3
monday
class
closure
video
wednesday
class
continuity
video
week 5: 2/6-2/10
monday
class
video 1
video 2
wednesday
quiz
video
week 6: 2/13-2/17
monday
class
video
wednesday
class
video
week 7: 2/20-2/24
monday
class
video
wednesday
class
video
week 8: 3/9-3/13
monday
class
video
wednesday
class
video
week 9: 3/16-3/20
monday
class
video
wednesday
class
video
week 10: 3/23-3/27
monday
class
video
wednesday
class
video
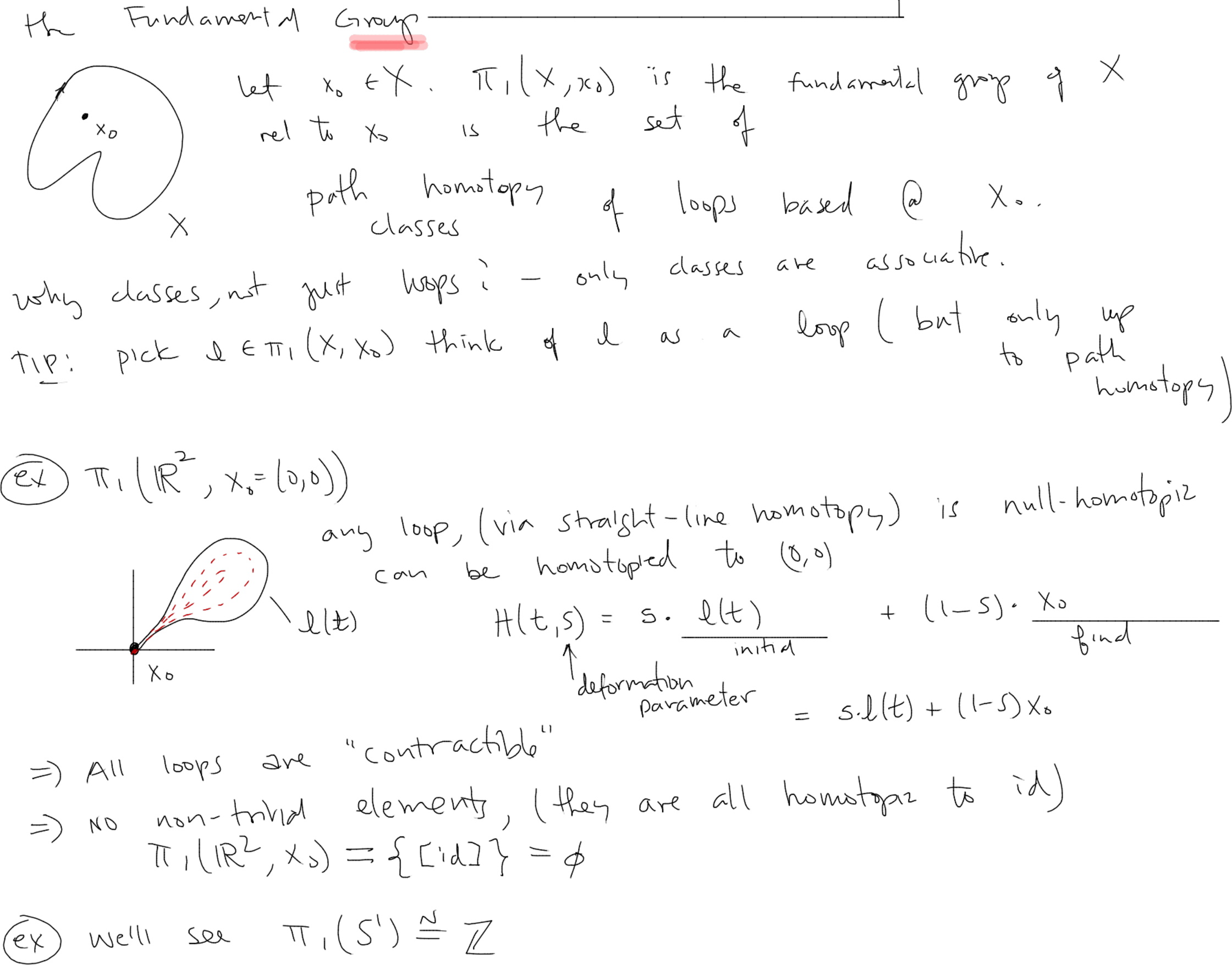
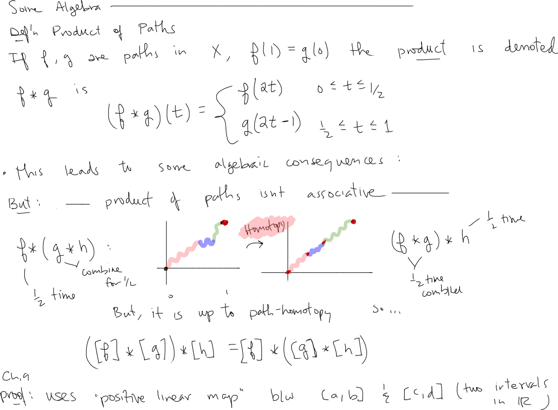
week 11: 3/30-4/3
monday
class
video
wednesday
notes
class
video
week 12: 4/6-4/10
monday
notes
class
video
wednesday
notes
class
video: desmos demos
video: class
week 13
monday
notes
class
video
wednesday
class
video
other
home
Week 11 Monday
download original pdf
Page 1
Page 2
Page 3
Page 4
Page 5
Page 6
Page 7