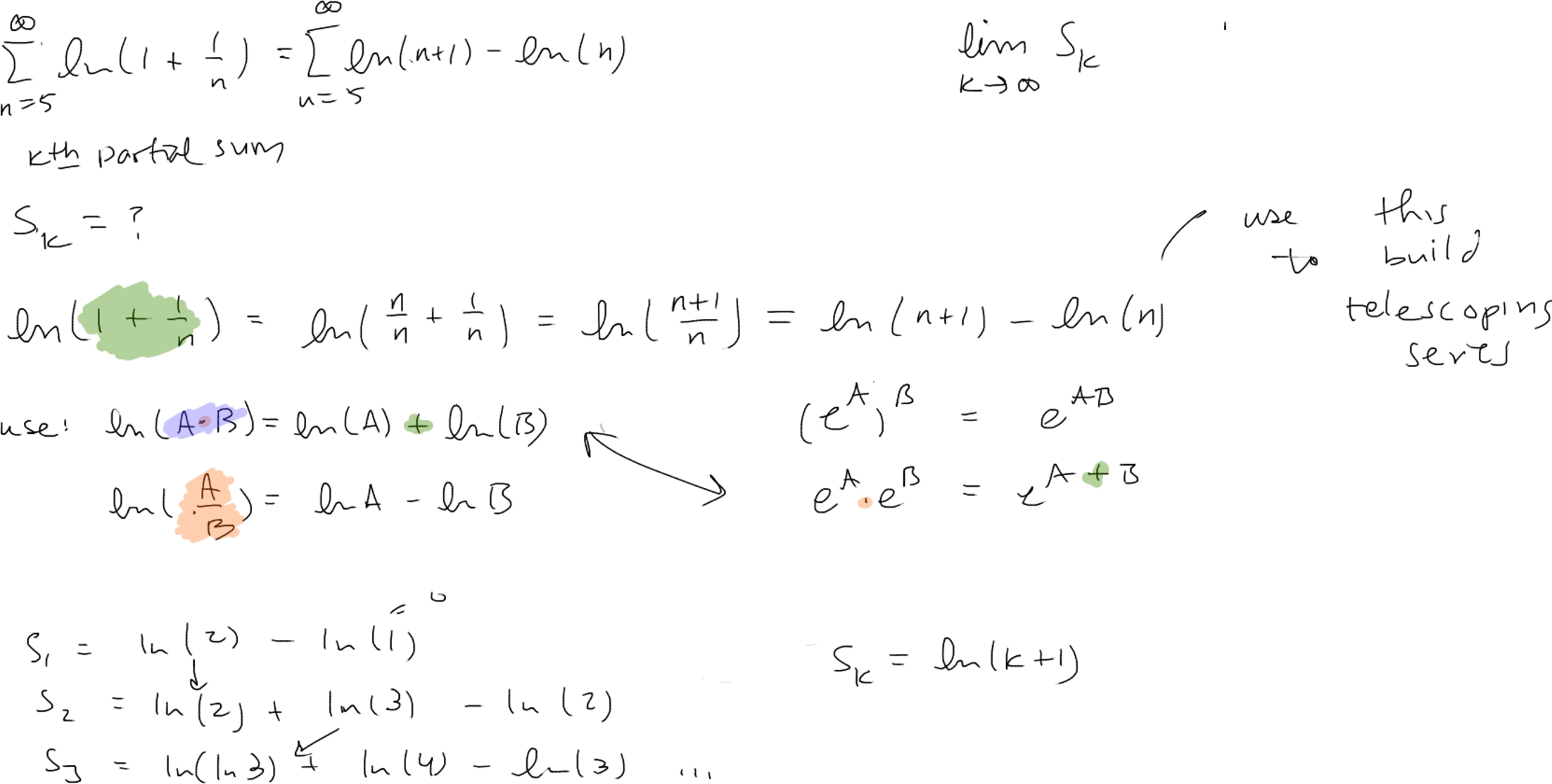
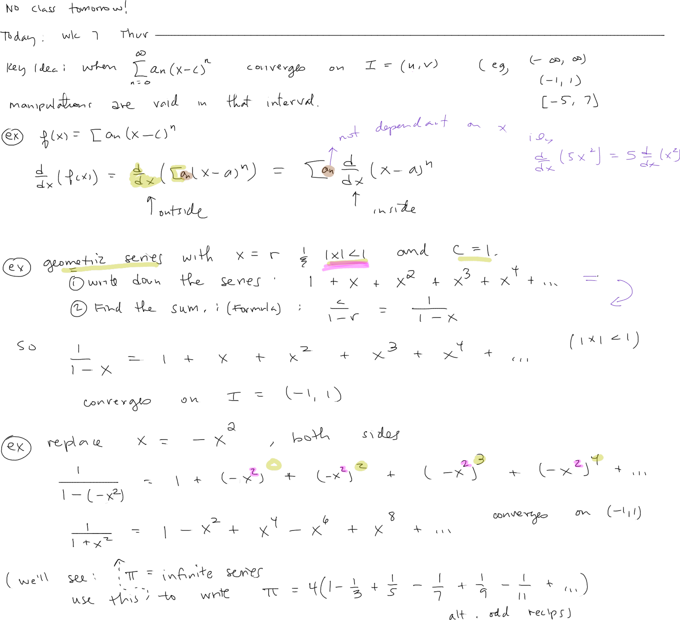
Index of /~joshthom/teaching/ma163/week7

[ICO]NameLast modifiedSizeDescription

[PARENTDIR]Parent Directory  -  
[   ]ma163-f25-exam2-guide-sols.pdf2025-10-08 15:16 868K 
[   ]ma163-f25-exam2-guide.pdf2025-10-08 15:12 105K 
[   ]ma163-wk7-m.pdf2025-10-06 14:49 441K 
[   ]ma163-wk7-th.pdf2025-10-09 10:51 485K 
[   ]ma163-wk7-w.pdf2025-10-08 15:31 528K 

Apache/2.4.58 (Ubuntu) Server at euclid.nmu.edu Port 80